会员中心

协会简介

更多

中国非公立医疗机构协会经国务院批准,于2014年在北京成立,是全国唯一从事非公立医疗卫生机构行业服务和行业管理的国家级行业组织,英文名称为Chinese Non-government Medical Institutions Association(CNMIA),眼科专业委员会成立于2016年。

首页 > 学科 > 眼遗传科学术部

《AJO》研究揭示:Stargardt病患者视力下降呈非线性模式,发病年龄是关键决定因素

发布时间:2025/09/28

关于Stargardt病(STGD1),以往部分研究假设视力呈线性下降,但临床实践提示其过程可能存在非线性特征。为深入探究STGD1患者视力变化轨迹,荷兰研究者开展了一项回顾性研究,并将成果发表于《American Journal of Ophthalmology》。

1.png 

1.研究背景及意义

Stargardt病(STGD1)是一种由ABCA4基因突变引起的遗传性视网膜营养不良性疾病,以进行性视力损害为主要特征。目前该病尚无根治方法,临床管理以避免吸烟、使用助视器具等支持措施为主。准确了解视力随时间的演变规律,对患者咨询和临床管理具有重要意义。

2.研究方法与对象 

该研究共纳入327例经基因确诊的STGD1患者,所有患者至少进行过两次最佳矫正视力(VA)测量,且间隔不小于2个月。

按发病年龄将患者分为三组:早发(≤10岁)、中发(11–44岁)和迟发(≥45岁)组,并模拟其自然病史。

研究还评估了将视力用作临床试验主要终点的可行性。

2.png 

STGD1患者视力变化趋势的假设性图示

3.关键发现:视力呈S形非线性下降

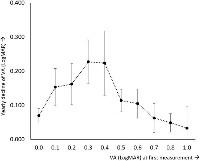
研究结果显示,STGD1患者的视力下降整体呈S形非线性趋势:疾病初期视力保持稳定;进入进展期后下降加速;最终趋于平台期,视力维持在较低水平。

下降速率因发病年龄而异:早发和迟发组的下降速度显著快于中发组。视力约为20/40时下降最为迅速,接近20/200时则明显放缓。

3.png 

基于线性回归的视力(VA)下降速率分析

4.视力作为临床试验终点的可行性

在临床试验终点适用性方面,研究者通过样本量估算发现,若以视力变化作为主要终点,一项为期3年、检验效能80%的研究需招募139例基线视力为20/40的患者。

由于STGD1属罕见病,招募难度大,且疗效观测时间窗有限,视力作为终点的可行性较低。研究建议将眼底自发荧光所示萎缩区域进展等生物标志物作为替代终点,以提高试验效率并扩大患者人群的覆盖范围。

5.研究局限与未来方向

本研究存在一定局限性:回顾性设计导致视力检测方法不一致,时间点分布不均,可能低估下降峰值速率或高估快速下降期的持续时间。

此外,未系统评估其他影响因素(如白内障、青光眼、屈光问题等),但因样本量较大,这些偏倚对整体结论影响有限。

未来需开展前瞻性、多中心、标准化研究,结合OCT椭圆体带缺失、视野检查等多维度指标,进一步验证视力下降关键时间点及疾病进展模式。

6.结论与展望

综上所述,该研究确立了STGD1患者视力下降呈S形非线性轨迹,且下降速率与发病年龄密切相关。这一模型有助于医生更准确地进行预后评估与患者沟通。

然而,鉴于视力作为临床终点的实际限制,探索替代标志物仍是推动STGD1治疗研究的关键方向。

数据来源

◆引用文献:

Pas JA, Valkenburg D, Li C, et al. The visual acuity course in Stargardt disease. Am J Ophthalmol 2025.

◆期刊来源:

https://www.ajo.com/article/S0002-9394(25)00378-2/fulltext#fig0004

 

声明:本文仅供医疗卫生专业人士学术交流,不代表本平台观点。该等信息不能以任何方式取代专业的医疗指导,也不应被视为诊疗建议,如果该信息用于资讯以外的目的,本平台及作者不承担相关责任。

 



协会简介

更多

中国非公立医疗机构协会经国务院批准,于2014年在北京成立,是全国唯一从事非公立医疗卫生机构行业服务和行业管理的国家级行业组织,英文名称为Chinese Non-government Medical Institutions Association(CNMIA),眼科专业委员会成立于2016年。